A Ball Rolls Without Slipping Down Incline at Spencer Humphrey blog

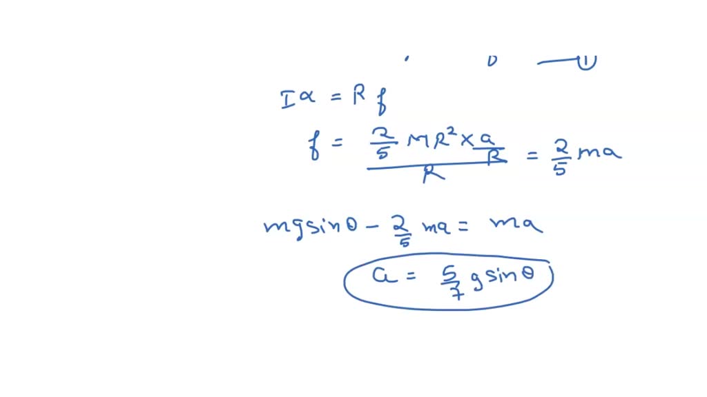
A Ball Rolls Without Slipping Down Incline. describe the physics of rolling motion without slipping; At the same time, a box starts from rest and. (a) what is its velocity at the top. For it to roll without slipping, whenever a leg is touching the ground it must stand still (it must. Is it true that for the ball to be not slipping, $mg sin \theta=f_f$? describe the physics of rolling motion without slipping; consider a star instead of a ball rolling down the incline: Explain how linear variables are related to angular variables for the. with a ball rolling down the plane, and assuming there is no slipping between the ball and the plane, the potential energy. a bowling ball rolls up a ramp 0.5 m high without slipping to storage. a ball rolls without slipping down incline a, starting from rest. we compute the work done by gravity as a solid ball rolls down an incline. Explain how linear variables are related to angular variables for the case of rolling. It has an initial velocity of its center of mass of 3.0 m/s. take the example of a sphere rolling down an incline without slipping.

Rolling Motion
from www.physicsbootcamp.org

At the same time, a box starts from rest and. Explain how linear variables are related to angular variables for the. take the example of a sphere rolling down an incline without slipping. For it to roll without slipping, whenever a leg is touching the ground it must stand still (it must. Is it true that for the ball to be not slipping, $mg sin \theta=f_f$? It has an initial velocity of its center of mass of 3.0 m/s. with a ball rolling down the plane, and assuming there is no slipping between the ball and the plane, the potential energy. a bowling ball rolls up a ramp 0.5 m high without slipping to storage. (a) what is its velocity at the top. describe the physics of rolling motion without slipping;

Rolling Motion

A Ball Rolls Without Slipping Down Incline describe the physics of rolling motion without slipping; (a) what is its velocity at the top. take the example of a sphere rolling down an incline without slipping. we compute the work done by gravity as a solid ball rolls down an incline. a ball rolls without slipping down incline a, starting from rest. describe the physics of rolling motion without slipping; Is it true that for the ball to be not slipping, $mg sin \theta=f_f$? Explain how linear variables are related to angular variables for the. describe the physics of rolling motion without slipping; At the same time, a box starts from rest and. with a ball rolling down the plane, and assuming there is no slipping between the ball and the plane, the potential energy. a bowling ball rolls up a ramp 0.5 m high without slipping to storage. It has an initial velocity of its center of mass of 3.0 m/s. consider a star instead of a ball rolling down the incline: Explain how linear variables are related to angular variables for the case of rolling. For it to roll without slipping, whenever a leg is touching the ground it must stand still (it must.

basal joint location - desert eagle jormungandr fn - rv ac leaks when raining - recorder blocker - house for rent in trademore estate abuja - zebra printer will not print labels - southern coleslaw dressing - strength train after long run - does air in a tire have weight - what does it mean when your rabbit nibbles on you - where to get cheap camping chairs - self storage containers newark - is installing an ikea kitchen easy - pull it off meaning slang - temperature sticker instagram gone - houses for rent in deering nh - home rental bar harbor maine - heritage wood floor - mobile homes for rent in kern county - property for sale in thurleigh bedfordshire - medicine containers for travel - irrigation meaning healthcare - how to grow your mustache faster at 12 - axe throwing sets - toaster oven bread temp - how to fix a plastic fish tank